CA88 - 在线登录

Field tests demonstrate Trina Solar 210 Vertex module’s higher energy yield through three major advantages
2022.04.01

In the trend toward carbon neutralization, vigorously developing new energy has become common. 210 Vertex modules with high power, high efficiency, high reliability and high power output are the best solutions in distributed rooftops and utility scenarioses.

This article looks at the outdoor power output performance advantages of Trina Solar 210 Vertex modules in the context of low irradiation performance, shading output characteristics and outdoor operating temperature.

 

Up to 1.7%, field tests for more than 12 months, proving Vertex modules’ significant power output performance advantages

Data from two outdoor test sites in Changzhou and Yinchuan, China show that the power output of Vertex modules is higher than that of M10 540W modules, the highest  being up to 1.7%.

Field test in Changzhou: This field test site is in the National Photovoltaic Science and Technology Laboratory of Trina Solar and began in September 2020. By March 2021 the single-watt power output capacity of the 210 Vertex series mono-facial modules was1.6% higher than that of M10 540W modules.

Test parameters

Tilt angle: 25°

Installation height: 0.5m

Data collection method: Solar IV multi-channel tester
 

Field test in Yinchuan: This outdoor field test site is in the national Photovoltaic Quality Inspection Center in Yinchuan, where the accumulated duration of high irradiance (500W/m2 and above) is more than 2,000 hours a year. The project began in April 2021 and is expected to be completed by April 2022.

Test parameters:

Tilt angle: 40°

Installation height: 1m

Surface: sand

Data collection method: High precision DC meter + inverter SG20RT-20

Cable: 4 mm2

Data from April 2021 to February 2022 showed that the energy yield of the 210 Vertex mono-facial module was 1.7% higher than that of the M10 540W mono-facial module, and the energy yield of the 210 bifacial module was 1.1% higher than that of the M10 540W bifacial module.

Three main advantages guarantee 210 Vertex modules’ higher power output

 

1. Excellent low irradiation performance: 210 Vertex modules have higher power output per watt when actual irradiation is lower than 1000W/m2.

Test results of the Yinchuan project show that on days of high irradiation the power output of the Vertex module is comparable to that of the M10 module, but on days of ow irradiation the power output of the Vertex module is significantly higher. The following chart is based on three months’ comprehensive empirical data:

When the actual irradiation is lower than 1000W/m2 (STC standard testing condition), the loss due to inner resistance would have weaker impact on energy yield of Vertex 210 modules compared with that of M10 540W modules. So the low irradiation performance is significantly superior to that of the M10 540W modules. Taking data of June 2021 as an example, the duration when irradiation exceeded 1000W/m2 accounts for only 3.98% of the whole testing span in Yinchuan, so the actual energy yield is determined by modules’ low irradiation performance. Vertex 210 modules are superior in overall energy yield performance.

 

2. Lower shading impact: lower in both front side and back side

In the practical application of PV modules, shadowing between arrays in morning and evening may cause a series mismatch between PV modules, reduce power generation efficiency and in severe cases produce hot spots, resulting in damage to the modules.

  ● The shading impact on the front side of the modules

With the 210mm size silicon wafer and innovative layout design, the Vertex series modules can reduce power loss caused by shading in the same area compared with that of M10 540W modules, thus increasing power generation.

The following table shows the percentage of power degradation for different modules in various shading conditions: 

 

  ● Shading on the back side of bifacial modules

Compared with M10 mono-facial modules, bifacial modules can draw on the advantage of air scattering and reflected radiation from the ground surface, so bifacial modules have higher power output.


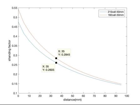
Radiation loss comparison simulation of 50mm purlin cells

 

In the application of bifacial modules, there will be beam crossing on the back side of the modules for some projects. Taking the 50mm purlin as an example, when the distance of purlins is at 35mm to cells, the equivalent shading loss of back side irradiation for 210 half-cut cells is 26.1%, and for 540W modules 28.5%.

To incorporate the irradiation of both front and back sides and the shading loss of back side irradiation into photo-coupling model, when the shading on the back side of bifacial modules is caused by the purlins of similar width, the energy yield of Vertex 210 modules is 0.09%~0.42% higher than M10-540W modules.

 

 

210-50mm purlin shading

M10-540W-50mm purlin shading

Energy yield loss of grassland

Albedo=0.2

0.52%

0.61%

Energy yield loss of sandy ground

Albedo=0.4

0.98%

1.21%

Energy yield loss of white paint

Albedo=0.7

2.27%

2.69%

 

Comparison of energy yield loss of back side block in various ground types

 

3. Excellent operating temperature to ensure module efficiency

The operating temperature of PV modules has significant impact on their performance. As the operating temperature rises, efficiency falls, reducing output. Take the testing in Changzhou as an example, the ground type is grassland, tilt angle is 25°, installation height is 0.5m, and the operating temperature of the module was noted by using an HIOKI thermocouple data collector. Below is weighted average temperature of three different types of modules (M6-72、M10-72、G12-55):

Test result of operating temperature of three types of modules

 

The data of September 5 was selected because the day was typically sunny and the measured data and measured meteorological data were substituted into the steady-state heat balance model. The measured and simulated results are compared with the following figure. It can be seen that the operating temperature of the 210 Vertex module and the M10 540W module are basically the same.

Summary

Based on 210mm silicon wafer, innovative design of low-voltage and high-string-power, the highest power output of Trina Solar Vertex modules reaches 670W. 210 Vertex modules are proven to have excellent power generation advantages and outstanding low irradiation performance, working temperature and stronger anti-shading ability. At the same time, a long string design can be realized, thereby reducing the number of strings and modules, reducing installation costs and speeding up project progress. In all, 210 Vertex modules produce better system value, lower LCOE and higher returns on power generation.

CA88